Pular para o conteúdo
Canal WhatsApp
Generic selectors
Exact matches only
Search in title
Search in content
Post Type Selectors
Exames
Todos Exames
6ª Classe
9ª Classe
10ª Classe
12ª Classe
IFP
ETP
UP
UEM
UJC
ICS – Saúde
ISCISA
ISPG
ISPT
ISPSongo
ISPQ
PRM
ACIPOL
Academia Militar
Escola Náutica
ISCAM
CFJJ
IFAPA
ISArC
ISTM
UAN
Exames do Brasil
Exames de Angola
Exames de Portugal
Todos Exames
6ª Classe
9ª Classe
10ª Classe
12ª Classe
IFP
ETP
UP
UEM
UJC
ICS – Saúde
ISCISA
ISPG
ISPT
ISPSongo
ISPQ
PRM
ACIPOL
Academia Militar
Escola Náutica
ISCAM
CFJJ
IFAPA
ISArC
ISTM
UAN
Exames do Brasil
Exames de Angola
Exames de Portugal
Livros Escolares
Todos Livros Escolares
Livros da 1ª Classe
Livros da 2ª Classe
Livros da 3ª Classe
Livros da 4ª Classe
Livros da 5ª Classe
Livros da 6ª Classe
Livros da 7ª Classe
Livros da 8ª Classe
Livros da 9ª Classe
Livros da 10ª Classe
Livros da 11ª Classe
Livros da 12ª Classe
Módulos em PDF
Cadernos em PDF
Gramáticas e Dicionários
Diversos Livros PDF
AEA
Todos Livros Escolares
Livros da 1ª Classe
Livros da 2ª Classe
Livros da 3ª Classe
Livros da 4ª Classe
Livros da 5ª Classe
Livros da 6ª Classe
Livros da 7ª Classe
Livros da 8ª Classe
Livros da 9ª Classe
Livros da 10ª Classe
Livros da 11ª Classe
Livros da 12ª Classe
Módulos em PDF
Cadernos em PDF
Gramáticas e Dicionários
Diversos Livros PDF
AEA
Biblioteca
Toda Biblioteca
C. Artísticas
C. Agrarias
C Sociais Aplicadas
C. da Educação
C. da Natureza
C. da Saúde & Desporto
C. Exatas
C. Humanas
Linguística e Letras
Literaturas
Religião e Espiritualidade
Tecnologias e Engenharias
AutoAjuda e Crescimento Pessoal
Toda Biblioteca
C. Artísticas
C. Agrarias
C Sociais Aplicadas
C. da Educação
C. da Natureza
C. da Saúde & Desporto
C. Exatas
C. Humanas
Linguística e Letras
Literaturas
Religião e Espiritualidade
Tecnologias e Engenharias
AutoAjuda e Crescimento Pessoal
Educador
SITE DO PROFESSOR
Programas de Ensino
Planos Analíticos
Planos Quinzenais
Planos de Aulas
Regulamentos
Matérias, Métodos e Meios de Ensino
Manuais de Formação de Professores PDF
Modelos de Testes
SITE DO PROFESSOR
Programas de Ensino
Planos Analíticos
Planos Quinzenais
Planos de Aulas
Regulamentos
Matérias, Métodos e Meios de Ensino
Manuais de Formação de Professores PDF
Modelos de Testes
Matérias (Aulas)
Site Escola
Agropecuaria
Antropologia
Biologia
Contabilidade
Empreendedorismo
Filosofia
Geografia
História
Matemática
Português
Química
Site Escola
Agropecuaria
Antropologia
Biologia
Contabilidade
Empreendedorismo
Filosofia
Geografia
História
Matemática
Português
Química
Trabalhos Feitos
Agropecuária
Biologia
Contabilidade
Crescimento Pessoal
Filosofia
Física
Geografia
História
Língua portuguesa
Matemática
Química
Todos Trabalhos
Agropecuária
Biologia
Contabilidade
Crescimento Pessoal
Filosofia
Física
Geografia
História
Língua portuguesa
Matemática
Química
Todos Trabalhos
Repositorio
Todo Repositório
C. Agrárias
C. Biológicas
C. da Educação
C. Exatas e da Terra
C. Humanas
C. Naturais
C. Sociais Aplicadas
Engenharias e Tecnologias
Linguística, Letras e Artes
Todo Repositório
C. Agrárias
C. Biológicas
C. da Educação
C. Exatas e da Terra
C. Humanas
C. Naturais
C. Sociais Aplicadas
Engenharias e Tecnologias
Linguística, Letras e Artes
+Canais MozEstuda
Sites MozEstuda:
Exames e Editais PDF
Livros e Módulos Escolares
Aulas (Matérias Escolares)
Planos & Programas
Livros Diversos
Repositório
Trabalhos Feitos
MozPDF – Buscador de PDFs
CExatas
Sites MozEstuda:
Exames e Editais PDF
Livros e Módulos Escolares
Aulas (Matérias Escolares)
Planos & Programas
Livros Diversos
Repositório
Trabalhos Feitos
MozPDF – Buscador de PDFs
CExatas
Sobre Nós
Quem Somos?
Política Privacidade
Termos e Condições
Política de Acessibilidade
Denuncie uma Obra
Nossos Servições
Contacte-nos
Anuncie Connosco
Sobre o Fundador
Quem Somos?
Política Privacidade
Termos e Condições
Política de Acessibilidade
Denuncie uma Obra
Nossos Servições
Contacte-nos
Anuncie Connosco
Sobre o Fundador
Exames
Todos Exames
6ª Classe
9ª Classe
10ª Classe
12ª Classe
IFP
ETP
UP
UEM
UJC
ICS – Saúde
ISCISA
ISPG
ISPT
ISPSongo
ISPQ
PRM
ACIPOL
Academia Militar
Escola Náutica
ISCAM
CFJJ
IFAPA
ISArC
ISTM
UAN
Exames do Brasil
Exames de Angola
Exames de Portugal
Todos Exames
6ª Classe
9ª Classe
10ª Classe
12ª Classe
IFP
ETP
UP
UEM
UJC
ICS – Saúde
ISCISA
ISPG
ISPT
ISPSongo
ISPQ
PRM
ACIPOL
Academia Militar
Escola Náutica
ISCAM
CFJJ
IFAPA
ISArC
ISTM
UAN
Exames do Brasil
Exames de Angola
Exames de Portugal
Livros Escolares
Todos Livros Escolares
Livros da 1ª Classe
Livros da 2ª Classe
Livros da 3ª Classe
Livros da 4ª Classe
Livros da 5ª Classe
Livros da 6ª Classe
Livros da 7ª Classe
Livros da 8ª Classe
Livros da 9ª Classe
Livros da 10ª Classe
Livros da 11ª Classe
Livros da 12ª Classe
Módulos em PDF
Cadernos em PDF
Gramáticas e Dicionários
Diversos Livros PDF
AEA
Todos Livros Escolares
Livros da 1ª Classe
Livros da 2ª Classe
Livros da 3ª Classe
Livros da 4ª Classe
Livros da 5ª Classe
Livros da 6ª Classe
Livros da 7ª Classe
Livros da 8ª Classe
Livros da 9ª Classe
Livros da 10ª Classe
Livros da 11ª Classe
Livros da 12ª Classe
Módulos em PDF
Cadernos em PDF
Gramáticas e Dicionários
Diversos Livros PDF
AEA
Biblioteca
Toda Biblioteca
C. Artísticas
C. Agrarias
C Sociais Aplicadas
C. da Educação
C. da Natureza
C. da Saúde & Desporto
C. Exatas
C. Humanas
Linguística e Letras
Literaturas
Religião e Espiritualidade
Tecnologias e Engenharias
AutoAjuda e Crescimento Pessoal
Toda Biblioteca
C. Artísticas
C. Agrarias
C Sociais Aplicadas
C. da Educação
C. da Natureza
C. da Saúde & Desporto
C. Exatas
C. Humanas
Linguística e Letras
Literaturas
Religião e Espiritualidade
Tecnologias e Engenharias
AutoAjuda e Crescimento Pessoal
Educador
SITE DO PROFESSOR
Programas de Ensino
Planos Analíticos
Planos Quinzenais
Planos de Aulas
Regulamentos
Matérias, Métodos e Meios de Ensino
Manuais de Formação de Professores PDF
Modelos de Testes
SITE DO PROFESSOR
Programas de Ensino
Planos Analíticos
Planos Quinzenais
Planos de Aulas
Regulamentos
Matérias, Métodos e Meios de Ensino
Manuais de Formação de Professores PDF
Modelos de Testes
Matérias (Aulas)
Site Escola
Agropecuaria
Antropologia
Biologia
Contabilidade
Empreendedorismo
Filosofia
Geografia
História
Matemática
Português
Química
Site Escola
Agropecuaria
Antropologia
Biologia
Contabilidade
Empreendedorismo
Filosofia
Geografia
História
Matemática
Português
Química
Trabalhos Feitos
Agropecuária
Biologia
Contabilidade
Crescimento Pessoal
Filosofia
Física
Geografia
História
Língua portuguesa
Matemática
Química
Todos Trabalhos
Agropecuária
Biologia
Contabilidade
Crescimento Pessoal
Filosofia
Física
Geografia
História
Língua portuguesa
Matemática
Química
Todos Trabalhos
Repositorio
Todo Repositório
C. Agrárias
C. Biológicas
C. da Educação
C. Exatas e da Terra
C. Humanas
C. Naturais
C. Sociais Aplicadas
Engenharias e Tecnologias
Linguística, Letras e Artes
Todo Repositório
C. Agrárias
C. Biológicas
C. da Educação
C. Exatas e da Terra
C. Humanas
C. Naturais
C. Sociais Aplicadas
Engenharias e Tecnologias
Linguística, Letras e Artes
+Canais MozEstuda
Sites MozEstuda:
Exames e Editais PDF
Livros e Módulos Escolares
Aulas (Matérias Escolares)
Planos & Programas
Livros Diversos
Repositório
Trabalhos Feitos
MozPDF – Buscador de PDFs
CExatas
Sites MozEstuda:
Exames e Editais PDF
Livros e Módulos Escolares
Aulas (Matérias Escolares)
Planos & Programas
Livros Diversos
Repositório
Trabalhos Feitos
MozPDF – Buscador de PDFs
CExatas
Sobre Nós
Quem Somos?
Política Privacidade
Termos e Condições
Política de Acessibilidade
Denuncie uma Obra
Nossos Servições
Contacte-nos
Anuncie Connosco
Sobre o Fundador
Quem Somos?
Política Privacidade
Termos e Condições
Política de Acessibilidade
Denuncie uma Obra
Nossos Servições
Contacte-nos
Anuncie Connosco
Sobre o Fundador
Canal WhatsApp
Início
»
Anestesia
Anestesia
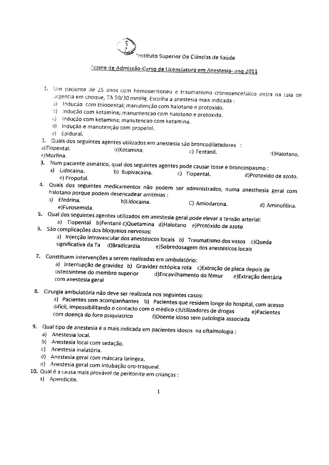
Anestesia – 2020 do ISCISA (Enunciado e Resolução...
Anestesia – 2019 do ISCISA (Enunciado e Resolução...
PUBLICIDADE
Brochuras de Exames da 10a Classe
PUBLICIDADE